cara buat surat perjanjian renovate rumah
Contoh Surat Perjanjian Sewa Rumah Jual Beli Kenderaan Tanah Ubahsuai Rumah Kerja Sewa Kedai Jual Beli Haiwan Keptennews Com
Surat Perjanjian Bina Rumah Letter 7saudara Com
Zai Mal Zaimus5599 Profile Pinterest
Gambar Surat Perjanjian Sewa Menyewa Generationlasopa
Surat Perjanjian Ubahsuai Rumah Pdf
Contoh Surat Perjanjian Sewa Rumah Jual Beli Kenderaan Tanah Ubahsuai Rumah Kerja Sewa Kedai Jual Beli Haiwan Keptennews Com
Contoh Surat Perjanjian Kontrak Rumah
Contoh Surat Permohonan Renovasi Rumah Surat Permohonan Desain Contoh Surat Kp8zjqr87v
Contoh Surat Perjanjian Kontrak Renovasi Rumah Surat Permohonan Desain Contoh Surat Krpv7nm1y9
Contoh Surat Perjanjian Sewa Rumah Yang Ringkas Ziondsx
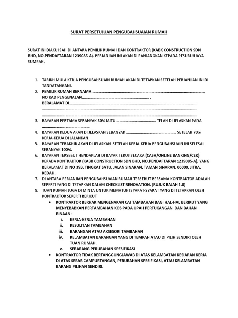
Surat Persetujuan Pengubahsuaian Rumah Pdf
36758716 Surat Persetujuan Pengubahsuaian Rumah
Surat Perjanjian Bina Rumah Letter 7saudara Com
11 Syarat Perjanjian Kontraktor Anda Wajib Patuh Jimat 40 Masa Dan Wang Anda Paveloft
Doc Perjanjian Bina Rumah Kediaman Asmah Iz Academia Edu
Surat Perjanjian Bina Rumah Letter 7saudara Com
Surat Perjanjian Bina Rumah Letter 7saudara Com

No comments for "cara buat surat perjanjian renovate rumah"
Post a Comment